加入收藏 | 设为首页|
首页 | 上海 | 苏州 | 联系我们
职业卫生
目前还没有信息!
  您现在的位置 : 首页--职业卫生 返回上一页 
字体选择:
LD84-1995生产性粉尘作业危害程度分级检测程
2012/5/23 15:36:12
LD84-1995生产性粉尘作业危害程度分级检测程
前言
  本标准是根据中华人民共和国劳动部要求,为贯彻执行GB5817—86而制订,在内容上与GB5817—86和GB5748—85保持一致。
  通过制定本标准,使执行GB5817—86的现场操作具体化、科学化、规范化,并在全国范围内保持统一,以满足现场检测操作和数据对比交流的要求。
  本标准在GB5817—86和GB5748—85的基本要求的框架内,提出按接尘动作设置采样点,并按各测点粉尘浓度超标倍数加权平均计算岗位浓度超标倍数,相信这样会更好地反映作业者接尘状况。
  本标准的附录A、附录B、附录C都是标准的附录。
  本标准由中华人民共和国劳动部提出。
  本标准由全国防尘防毒工程标准化技术委员会归口并负责解释。
  本标准由湖北省劳动保护科学研究所、襄樊市职业安全卫生检测站、黄石市职业安全卫生检测站负责起草。
  本标准主要起草人:朱宝玉、汪召平、郑立海、邓文、程良平。
  1 范围
  本标准规定了生产性粉尘作业危害程度分级的测定内容及方法。
  本标准适用于有生产性粉尘污染的作业危害程度分级测定。
  2 引用标准
  下列标准包含的条文,通过在本标准中引用而构成本标准的条文。在标准出版时,所示版本均为有效。所有标准都会被修订,使用本标准的各方应探讨使用下列标准最新版本的可能性。
  GB5817—96 生产性粉尘作业危害程度分级
  GB5748—85 作业生产空气中粉尘测定方法
  GB934—89 高温作业环境气象条件测定方法
  3 术语
  接尘动作:在有生产性粉尘的作业中,作业者接触生产性粉尘的各种接尘作业活动(含接尘休息)或同类作业动作。
  4 测定内容及方法
  4.1 接尘时间肺总通气量的测定
  4.1.1 原理:选择工种(岗位)代表性作业者2名以上(含2名),通过记录作业者的实际活动内容和接尘时间,在对接尘动作分类的基础上测定每类动作的肺通气量,通过计算求出该工种(岗位)一个工作日接尘时间肺总通气量L/(d·人)。
  4.1.2 器材
  4.1.2.1 呼气量测定仪:采用经过产品检验合格的肺通气量仪,在需防爆的作业场所测定时,用防爆型肺通气量仪。
  4.1.2.2 通风干湿温度计:机械(电动)通风干湿温度度或数显自动综合温度测试仪,测量范围0℃~50℃。
  4.1.2.3 热球式电风速仪:测量范围0.05m/s~30m/s。
  4.1.2.4 秒表或具有相同精度、功能的计时器。
  4.1.2.5 空盒气压表。
  4.1.3 接尘时间测定。
  4.1.3.1 按下列原则选择测定对象:
  a. 本工种(岗位)工龄在1年以上;
  b. 年龄在20岁~45岁之间;
  c. 身体状况能胜任本职工作;
  d. 若无作业者能满足上述条件时,可据实际情况确定;
  e. 在对未成年工或女工进行检测时,未成年工年龄要求按法定要求划分;女工年龄仍按本条b执行。
  4.1.3.2 准备记录表格(见附录A)及记录工具。
  4.1.3.3 检查、准备计时器。
  4.1.3.4 在生产正常情况下,每个跟踪测定对象,连续记录一个工作日,连纪记录2天以上(含2天),在每工种(岗位)记录的工作日数不得少于4人·日,具体记录要求如下(记录表见附录A):
  a. 记录测定对象各类动作的持续时间,接尘时间及作业场所;
  b. 一般情况下,超过一分钟的动作应单独列项记录持续时间、接尘时间及作业场所;
  c. 若某一动作在持续过程中改变了作业场所(或作业性质),应另列一项作业记录。
  4.1.3.5 将接尘动作进行归类,并按要求统计。
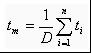
  4.1.3.6 接尘时间按(1)式计算:
   

  式中:tm——m类接尘动作一个工作日平均时间,min/d;
  ti——记录日内第i次接尘动作持续时间,min;
  D——记录日天数,d。
  4.1.4 接尘动作肺通气量测定
  4.1.4.1 测定对象选择原则见4.1.3.1。测定对象与接尘时间测定对象为同一人,也可不同。
  4.1.4.2 准备记录表格(见附录B)及记录工具。
  4.1.4.3 肺通气量仪使用前检查内容:
  a. 检查整机,检查各项功能开关是否正常,数据显示是否正常,电是否充足;
  b. 检查传感器:传感器与主机连接后,各种数据显示正常;
  c. 检查呼吸面具阀门是否齐全,是否活络。
  4.1.4.4 通风干湿温度计按GB934要求检查和准备。
  4.1.4.5 热球式电风速仪按GB934要求检查与调整。
  4.1.4.6 气温和气湿的测定:
  a. 测定地点,选择测定作业者接尘动作通气量相应的作业场所(操作地点)
  b. 测定高度为立位作业1.5m高;坐位作业1.1m高;
  c. 测定方法按GB934中7.1.3~7.1.8进行。并将数据记录于附录B表中。
  4.1.4.7 风速的测定:具体方法按GB934中要求执行。
  4.1.4.8 大气压力的测定:
  a. 气压表必须放置于相应的气温、气湿测定点;
  b. 其他要求按GB934中规定执行。
  4.1.4.9 接尘动作肺通气量的测定:
  a. 测定动作接尘动作内容(含接尘休息)分类的各类接尘动作;
  b. 戴好面具,检查面具四周是否紧贴面部,如有漏气,应调整部位和橡皮带,要确保测定过程中不漏气;
  c. 测定现场气象参数后,一般情况在每次测定气象条件后,即开始测量肺通气量。若气象条件无显著变化不必每次测定前测定气象,一般情况要求现场风速≤4m/s;
  d. 原则上采用定时测定工作方式,在正式测定前拨好相应键位,然后将启动开关拨到启动位;
  e. 停止测量时应将启动开关拨到暂停位,这一点要从人体上卸下面具和仪器前完成,以保证测定结果的可靠性。以定时工作时,在定时范围内启动开关有效,过了预定时间数据自动冻结,此开关不再起作用。
  f. 测定应在同类动作中进行,跨类测定无效,应对每类动作的开始、中间、结尾阶段分别测定,尽量避免同类或不同类动作的连续测定;
  g. 每次测定时间不得少于2min,每类动作的测定次数不得少于8次;
  h. 测定时要注意观察作业者,操作不正常,如故意深呼吸或仪器不正常时不作记录,重新测定;
  i. 测定应在生产(作业)正常情况下进行,每次测定结束时应及时记录数据于附录B;
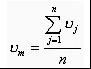
  j. 接尘动作肺通气量按(2)或(3)式计算:
   

  若m类动作各次测定时间相等时,即t1=t2=…tm;
   

  式中:υm——m类接尘动作标准状态下平均肺通气量,L/min;
  υj——m类接尘动作j次测定标准状态下肺通气量,L/min:
  tj——m类接尘动作第j次测定的测定时间;min;
  n——m类接尘动作肺通气量测定次数。
  (注:若肺通气量测定仪无气体体积标化功能则标化计算方式按GB3869中要求执行)
  4.1.5 接尘时间肺总通气量按(4)计算
   

  式中:L——一个工作日接尘时间肺总气量L/(d·人)。
  4.2 生产性粉尘浓度超标倍数的测定
  4.2.1 原理:以工种(岗位)工作中实现测定的生产性粉尘浓度为依据,计算工作地点空气中生产性粉尘浓度超标倍数。
  4.2.2 生产性粉尘浓度的测定
  4.2.2.1 采样点的选择原则一般应按划分的接尘动作,在归类的基础上设立采样点(每类动作设点参数GB5748中2执行,具体应符合GB5748附录B、C、D、E要求)
  4.2.2.2 粉尘浓度的测定方不按GB5748中3执行,每个接尘动作样品不得少于5份,每采样点应采平行样不少于1份,分2天测定,并将现场数据记录于附录C中。
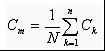
  4.2.2.3 生产性粉尘浓度按(5)和(6)式计算
   

   

  式中:Cm——m类接尘动作测点粉尘平均浓度,mg/m3;Ck——m类接尘动作测点第k次测定粉尘浓度,mg/m3;
  N——m类接尘动作测点测定次数;
  Qk——m类接尘动作测点第k次测定采样流量,L/min;
  tk——m类接尘动作测点第k次测定采样时间,min;
  W1——m类接尘动作测点第k次 测定前滤膜质量,mg;
  W2——m类测点第k次测定后滤膜质量,mg。
  4.2.3 各类接尘动作生产性粉尘超标倍数(Bm)及生产性粉尘浓度超标倍数(B)按(7)和8)式计算:
   

   

  式中:B——某工种(岗位)生产性粉尘浓度平均超标倍数;
  Bm——m类接尘动作测点粉尘浓度超标倍数;
  Cs——m类接尘动作测点粉尘国家标准最高容许浓度,mg/m3。
  4.3 生产性粉尘中游离二氧化硅含量的测定
  4.3.1 生产性粉尘的采样方法、样品数及分析方法,按GB5817 中附录A执行。
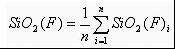
  4.3.2 生产性粉法中游离二氧化硅含量SiO2(F)按(9)式计算:
   

  式中:SiO2(F)——某工种(岗位)接触生产性粉尘游离二氧化硅含量,%
  SiO2(F)i——第i个样品粉尘游离二氧化硅含量,%
  N——分析样品数。
  5 生产性粉尘作业危害程度分级
  5.1 按4.1~4.3方法测定,并用测定结果查表1,所得级别为该工种(岗位)级别。
  表1
   

  注:跨两级区方格级别:
  1. 以“Ⅱ”为界,当L>6000L/(d·人)时,取右侧级别,L≤6000L/(d·人)时,取左侧级别;
  2. 以“Ⅰ”为界,当L>4000L/(d·人)时,取右侧级别,当L≤4000L/(d·人)时,取左侧级别。
  5.2 本方法将石棉粉尘列入SiO2(F)>70%一类。
  6 分级和检测机构
  生产性粉尘作业危害程度分级和测定由劳动行政部门认可的检测机构进行。
  附录A (标准的附录)
  工时记录表
  (补充件)
  单位____________________车间_____________(岗位)工种__________姓名___________性别____________年龄_______________记录时间____________属何种分级_____________
   

  记录者:
  附录B(标准的附录)
  肺通气量测定记录
  (补充件)
  单位_______________工种(岗位)______________姓名__-__________身高(cm)________体重(kg)________体表面积(m2)_______气温(℃)______气压(kPa)_________气湿(%)____________风速(m/s)____________
   

  记录: 测定: 年 月 日
  附录C(标准的附录)
  粉尘作业危害程度分级粉尘测定记录
  (补充件)
  单位_______________车间______________工种(岗位)___________________人数_________测定日期________年____月____日气温(℃)_______气湿(%)_______气压(kPa)________
   

  测定单位: 采样者: 检验者:
发布单位: 中华人民共和国劳动部 
提出单位: 中华人民共和国劳动部 
起草单位: 湖北省劳动保障科学研究所、襄樊市职业安全卫生检测站、黄石市职业安全卫生检测站 
批准单位: 中华人民共和国劳动部1995-9-1

友情链接: | EHS环境安全法规网 | 企业常用法规及条款精选 | EHS评价咨询事业部

EHStesting 环境安全检测网  
上海总部:上海市松江区新桥申光路178号  电话:021-64138011 34121020 57659358 64885681  传真:021-23025056   邮箱:ehsservice@163.com  

苏ICP备17005378号-1